Pramesh S Jain &Dr.Thomas (Sub-Editor)
H
ours after the newly introduced Bharatiya Nyaya Sanhita (BNS) was enforced,the Hassan police arrested a head constable for stabbing his wife to death in the SP office premises on Monday.
The accused is identified as Lokanath,40,Head Constable,attached to Gorur Police Station,stabbed Mamatha,37,to death after she had come to SP office to file a complaint against him.
The couple had differences in recent days.Following heated arguments and repeated assaults at home, Mamatha visited the SP’s office to share her complaints about her husband’s behaviour with senior officers.
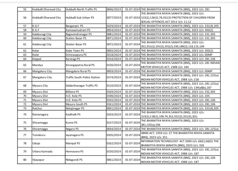
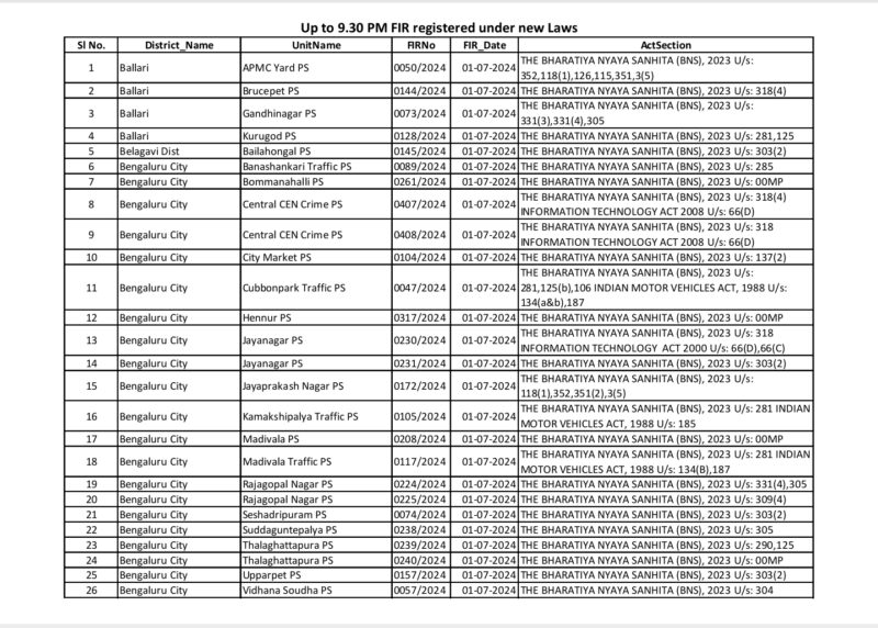
The police later tracked Lokanath and arrested him as probably the first case under BNS registered under section 103 (Whoever commits murder shall be punished with death or imprisonment for life,and shall also be liable to fine) of BNS .
Earlier the Southeast Division police registered two un natural death cases under section 194 of BNS reported in the early hours of Monday.
While the first case was reported in HSR Layout police based on the complaint filed by M ,Shekar,a retired government employee from Tamilnadu the police have registered a case under section 194 ( Police to enquire and report on suicide) under BNS on Monday morning.
In his complaint Shekhar said that his daughter Suganya,32,married to Rajkumar Murugesan,a software engineer,presently working in US.
The victim having a history of seizure and under medication,collapsed while at home.She was rushed to a private hospital where the doctor declared her as brought dead.
Mr.Sekar who did not expressed any doubts, complained to the police seeking detailed investigation to ascertain the cause of death.
In a similar case,a 54-year-old man ended his life by hanging at his house in Rajendra Nagar in Adugodi in the early hours of Monday.
The deceased Elumalai,according to the complaint was alcoholic and suffering from serious illness,Based on the complaint,by Manigandan E,son of the deceased the police have registered a case under 194 (Police to enquire and report on suicide) under BNSS for further investigation.
Meanwhile a 30-year-old police constable who was missing for many days found dead in a well in Jnanbharati police station limits on Monday.
The police are now contemplating registering un natural death case under section 194 of the BNSS.
The deceased Shivaraj,30,from Uttarahalli,working with Madiwala station since 2020 was found missing since June 25.
Shivaraj left on his motorcycle claiming he was going to work and then switched off his mobile phone.His brother had filed a missing complaint with the Subramanyapura police .
Director General and Inspector General of Police,Alok Mohan,said that all the police officers and staffs across seven zones and six Commissionerate units and staff of 1063 Police Stations across the state have been trained to handle cases under BNSS.
Apart from the mobile app from BPNDR,the police personnel were provided material from Police IT wing and State police academy.
It is a ongoing training session for the police personnel who have problems initially on following the procedures under Bharatiya Sakshya Adiniyam while collecting
evidence or conducting investigations,a senior police officer,said.




